Methoden zur Konvergenzbeschleunigung dienen der Reduktion des Rechenaufwandes, welcher bei langsam konvergierenden Folgen oft gegeben ist.
Delta2-Verfahren:
Voraussetzungen:
{x(k)}ist eine linear konvergente Folge mit dem Grenzwert x* und dem Konvergenzfaktor a < 1, sodaß gilt:

Um das Delta2-Verfahren zu motivieren, wird zunächst angenommen, daß

alle gleiches Vorzeichen haben und k groß genug ist, damit:

gilt.
Durch umformen gelangt man zur Möglichkeit der Generierung einer neuen Folge wie folgt:

Wird auf diese Art die Folge {x(k)} in die neue Folge {y(k)} überführt, so konvergiert die neue Folge rascher als die Ursprüngliche gegen den Grenzwert und man spricht vom Delta2-Verfahren.
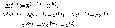
Die Bezeichnung des Verfahrens stammt von der Differenzenschreibweise

mit der sich für das Delta2-Verfahren

ergibt.
Steffensen-Verfahren:
Wenn die Delta2-Beschleunigung nicht erst nach Vorliegen aller Werte von {x(k)}angewendet wird, sondern so oft wie möglich, d. h. erstmals nach zwei Iterationsschritten - der Verfügbarkeit von drei Werten einer Folge -, spricht man vom Steffensen-Verfahren.
Siehe auch Extrapolation.