Wenn bei nichtlinearen Funktionen die Nullstellen x* nicht direkt bestimmt werden können, ersetzt man die Funktion durch eine lineare Funktion lk folgender Form:

Die Nullstellen xk* dieser Funktion werden als Näherung für die Nullstelle x* der ursprünglichen nichtlinearen Funktion verwendet.

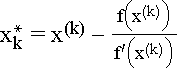
Wenn man ak und bk ausrechnet (mittels Abbruch der Taylor-Entwicklung um die Stelle x(k)), so erhält man folgende Form für die Nullstellen der Modellfunktion:

xk* ist nun eine bessere Näherung für x* als x(k), da man sich bei höherem k immer weiter der ursprünglich gewünschten Nullstelle nähert.
Es liegt also nahe, eine Folge { x(0), x(1), x(2),...} zu definieren, die die zuletzt berechnete Nullstelle als Startwert annimmt und eine neue Näherung berechnet, die dann noch näher bei x* liegt.
Die Folge

konvergiert also gegen x* unter der Vorraussetzung, daß der Startwert x(0) nahe genug bei x* liegt.

Im Punkt (x(0), f(x(0))) wird eine Tangente (erste Modellfunktion) an f gelegt und mit y=0 zum Schnitt gebracht. Dieser Schnittpunkt ist der neue Näherungswert x(k+1). An diesem Punkt wird dann die nächste Tangente angelegt und man erhält beim Schnitt wieder einen neuen Näherungspunkt x(k+1).
Konvergenz (Newton-Verfahren):
Für das Newton-Verfahren als iterativer Prozeß x(k+1) = t(x(k)) gilt
![$t\left( x\right) $ =\thinspace x $-$ $\frac{f(x)}{f^\prime (x)}$ $und$$t^\prime (x)$ =\thinspace $\frac{f(x)f^{\prime \prime }(x)}{\left[ f^\prime(x)\right] ^2}$](pic/j03_0405.gif)
Im Falle einer einfachen Nullstelle ist in einer Umgebung von x* die Ungleichung |t'(x)| < 1 wegen f(x*) = 0 sicher erfüllt, die Funktion t ist dort eine kontrahierende Abbildung. Durch Anwendung des Kontraktionssatzes sieht man, daß das Newton-Verfahren bei einem hinreichend guten Startpunkt x(0) stets gegen die einfache Nullstelle x* konvergiert. Ein guter Startpunkt heißt, daß der Startpunkt in der Nähe von x* liegen muß.
Konvergenzordnung (Newton-Verfahren):
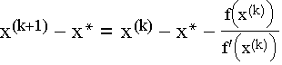
Wenn man in der Formel für x(k+1) auf beiden Seiten die gesuchte Nullstelle abzieht erhält man

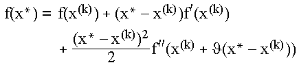
Falls x* eine einfache Nullstelle ist, d.h. wenn f(x*) = 0 und f'(x*) <> 0 gilt, dann folgt aus obiger Formel und der Entwicklung

mit

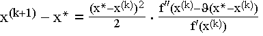
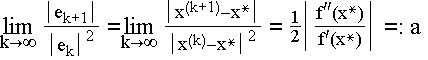
die Beziehung

und damit

Das Newton-Verfahren ist somit (bei einfachen Nullstellen und ausreichender Differenzierbarkeit von f) quadratisch konvergent und hat die Konvergenzordnung 1.
Mehrfache Nullstellen beim Newton-Verfahren:
Wenn x* eine mehrfache Nullstelle mit ganzzahliger Vielfachheit m={2,3,4,...} ist, so konvergiert wegen t'(x*) = 1(0). Die Konvergenzordnung ist jedoch nur 1, sodaß im Falle mehrfacher Nullstellen das Newton-Verfahren nur linear konvergiert.