[<] [globale Übersicht] [Kapitelübersicht] [Stichwortsuche] [>]
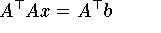
Die naheliegendste Art,L2-Ausgleichsprobleme zu Lösen,besteht im Aufstellen und Lösen der Normalgleichung

mit dem Cholesky-Verfahren.Der Übergang zu disem anderen Problem ist bezüglich des Rechenaufwands sehr vortelhaft.Der große nachteil besteht alerdings in der Verschlechterung der Kundition des neuen Problems gegenüber dem ursprünglichen Problem:

[<] [globale Übersicht] [Kapitelübersicht] [Stichwortliste] [>]